聯系熱線
臭氧校準分析型傳遞標準的系統組成
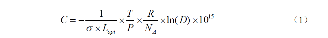
校準系統由零氣發生器、臭氧發生器、上級傳遞標準A 的光度計(經更高級別臭氧標準校準合格)、待校準傳遞標準B 的光度計等組成(圖2)。零氣和臭氧樣品空氣分別通入零氣和樣品空氣輸出多支路管,零氣輸出多支路管氣體出口分別連接至傳遞標準A 光度計和B 光度計前端的零氣電磁閥、樣品空氣輸出多支路管氣體出口發分別連接至傳遞標準A 和B 光度計前端的樣品空氣電磁閥。在電磁閥的控制下,零氣和樣品空氣交替進入傳遞標準的光度計,并根據朗伯-比爾定律(公式1)計算,分別得到傳遞標準A 和B 測定的臭氧濃度CA 和CB,并將CA 回溯至臭氧標準參考光度計測定標準濃度Csrp。通過比較CB 和Csrp,對待校準傳遞標準B 進行校準。

式中:C—氣體中臭氧濃度, nmol/mol;
D—樣品的總透過率;
σ—標準狀態下臭氧在253.7nm 處的吸收系數,1.1476×10-17 cm2/molecule;
Lopt—光池總長度,cm;
T—光池溫度,K;
P—光池氣壓,Pa;
R—氣體常數,6.022142×1023;
NA—阿佛加德羅常數,8.314472J/mol×K;

圖 校準分析型傳遞標準的系統氣路示意圖
注:來源不同的零氣可能含有不同的殘余物質從而產生不同的紫外吸收。因此,在校準過程中,向參與校準過程的各臺紫外光
度計提供的零氣必須與臭氧發生器所用的零氣為同一來源。
注:流量控制裝置可為質量流量控制器、針閥等。